Daily Freedom Challenge
In today's world, so many people are struggling. They need a way to be able to lift themselves and their families out of their situations and into a better way of life. Daily Freedom Challenge is just the vehicle to do just that. For only $0.20 cents, a person can join our community, and become financially blessed in a very short time! Even those that do not have the $0.20 cents will be welcomed and taken care of. DFC is here, now, and ready to help!
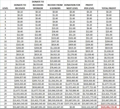
DFC is a 2x2 follow me system and its auto-level up system, you will be going through levels and earn from your directs, their directs and community efforts.
Starting at $0.20c, anyone can join DFC program and start making money in no time. This was made easy for members to use DFC system to earn income in a daily basis.
DFC's mission is to help people get out of debt. This is why it started at a very low cost which allows you to leverage easily in the system. Anyone can join, the unemployed, retirees, college students, people who need extra income, financial need, who wants to earn bitcoin.
Advertise on APSense
This advertising space is available.
Post Your Ad Here
Post Your Ad Here
Comments (1)
Wilfredo Maceres8
Home Biz Entrepreneur
Right now, the members count stood at 80,187 & still growing daily.